近日,明陞m88官方网站地址隧道智慧建养与深地储能技术团队张朝副教授在Tunnelling and Underground Space Technology期刊(JCR一区,中科院一区TOP,IF=7.4)发表题为“Shear performance of prefabricated utility tunnel joints considering the effect of connectors”(DOI: https://doi.org/10.1016/j.tust.2026.107538)的研究成果。

预制综合管廊接头易出现开裂、渗漏、错位等缺陷,严重影响了管线的运行安全性和可靠性。为了提升综合管廊结构抗剪性能,以包头市某管廊工程为研究对象,结合模型试验、数值模拟与理论分析方法,揭示了预制综合管廊结构接头内力分布规律与失效机制,阐明了纵向连接件与承插接头的协同工作机制。
本次试验在明陞m88官方网站地址土木工程安全与耐久性重点实验室进行。研究中预制综合管廊剪切模型试验共包括无连接件(GL-0)、有连接件(GL-1)两组工况。

图1 试验模型
纵向连接件能够提升接头承载能力49.4%,减少管节错台变形10.0%,显著提高预制综合管廊的接头剪切刚度。

在GL-0和GL-1的各加载阶段,最大接触压力、剪力和弯矩均出现在倒角处,而中跨内力远小于倒角处,建议优化倒角几何形状和曲率半径来降低接头的应力集中现象。

连接件对预制管线隧道接头的破坏过程和形式具有显著影响。GL-0型接头的破坏过程主要经历三个阶段,最终以弯曲破坏告终;而GL-1型接头由于连接件与接头的相互作用,其破坏过程分为四个阶段,并呈现弯曲-剪切复合破坏形态。


图7 无连接件接头的失效机制 图9 有连接件接头的失效机制
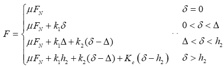
通过建立接头力学模型,可得载荷F与剪切位移之间的关系可表示为:


图10 接头受力简图
这些研究结果为预制公用隧道的合理设计和安全性评估提供了基础参考。
